代码行估算法

发布日期:2023-08-05 11:00:00   来源 : bal    作者 :乐小管    浏览量 :11
乐小管 bal 发布日期:2023-08-05 11:00:00  
11

2026西湖龙井茶官网DTC发售:茶农直供,政府溯源防伪到农户家 

什么是代码行估算法

  软件项目的代码行估算是进行成本和工作量估算的重要依据之一。代码行估算法是指从过去开发类似产品的经验和历史数据出发,估算出待开发软件的代码行(Line of Code,LOC)。代码行估算法是一种直观而又自然的软件规模估算方法,它是对软件和软件开发过程的直接度量。

代码行估算法的运用

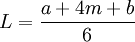
  在代码行估算中,可以采用上述提到的四种方法估算出代码行的值,但是为了保证估算的准确性和客观性,估算值可以由多名有经验的开发人员分别给出,然后计算出所有估算的平均值。此外,估算人员也可以提出一个具有代表性的估算值范围,按照这个范围确定估算值中的最佳的估算值(a)、可能的估算值(m)和悲观的估算值(b),并利用如下公式计算出期望值

  L=\frac{a+4m+b}{6}

  在估算出代码行数之后还可以进一步度量每行代码的平均成本、代码出错率、软件开发的生产率等。

  每行代码的平均成本=软件项目的总开销/LOC

  代码出错率=软件的错误总数/kLOC

  其中,kLOC表示每千行代码,此处的出错率亦是针对每千行代码而言

  生产率=kLOC/PM(人月)

  其中PM是软件开发的工作量,其单位是人月;软件开发的生产率代表每人月完成的代码行数。



关于我们
热门推荐
合作伙伴
免责声明:本站部分资讯来源于网络,如有侵权请及时联系客服,我们将尽快处理
支持 反馈 订阅 数据
回到顶部