宗地地价评估

发布日期:2023-08-17 11:00:00   来源 : bal    作者 :乐小管    浏览量 :296
乐小管 bal 发布日期:2023-08-17 11:00:00  
296

2026西湖龙井茶官网DTC发售:茶农直供,政府溯源防伪到农户家 

什么是宗地地价评估

  宗地地价评估是根据已有宗地的收益资料、市场成交价格资料、征地拆迁成本费用资料及影响土地使用权价格的自然、社会、经济因素之间的相关关系,评估出宗地在特定时间、特定目的下的价格

宗地地价评估的原理[1]

  (1)宗地地价评估的基本原理是地租理论。即土地使用者经营土地而获取的超额利润——土地收益,是土地使用者支付地租的能力,也是土地使用者愿意支付地价,获取相应土地权利收益的基础。

  (2)在正常的土地市场中,具有同样土地质量等级和土地使用价值的宗地,应该具有相同的土地收益,使用者也应支付相同的地租

  (3)在同一供需圈内,具有同样等级和土地使用价值的宗地,应该具有同样的价格。在正常的市场条件下,市场比较价格与收益价格应基本一致,在非正常的市场条件下,比较价格不能反映地价与地租的基本原理,难于反映土地作为生产要素参与社会经济活动时应该具有的价格标准

  (4)土地市场中,不同的土地使用者对同一宗地的价格认识可能不完全一致,但土地使用权转移成交时,双方对地价标准的认识趋于一致,这也正是土地估价应追求的结果。

宗地地价评估的方法[1]

  我国宗地地价评估的基本方法,主要有市场比较法收益还原法成本逼近法剩余法基准地价系数修订法等5种。

  1.基准地价系数修正法的定义

  基准地价系数修正法,是我国土地估价的方法之一。它是利用城镇基准地价和基准地价修正系数表等评估成果,按照替代原则,就待估宗地的区域条件和个别条件等与其所处区域的平均条件相比较,并对照修正系数表选取相应的修正系数对基准地价进行修正,进而求取待估宗地在估价期日价格的方法。

  2.基准地价系数修正法的基本原理

  基准地价系数修正法的基本原理是替代原理,即在正常的市场条件下,具有相似土地条件和使用价值的土地,在交易双方具有同等市场信息的基础上,应当具有相似的价格。基准地价,是某一级别或均质地域内分用途的土地使用权平均价格,该级别或均质区域内该类用地的其他宗地价格在基准地价上下波动。基准地价相对应的土地条件,是土地级别或均质地域内该类用途土地的一般条件。因此,通过待估宗地条件与级别或区域内同类用地一般条件的比较,并根据二者在区域条件、个别条件、使用年期和估价期日等方面的差异大小,对照因素修正系数表选取适宜的修正系数,对基准地价进行修正,即可得到待估宗地地价。

  3.基准地价系数修正法的特点与适用范围

  (1)基准地价系数修正法,适用于完成基准地价评估城镇中的土地估价,即具备基准地价和相应修正体系成果的城镇中的土地估价。(2)基准地价系数修正法,是对一般比较法变形、量化及系统化后的一种估价方法,是在短时间内大批量进行宗地评估的有效手段,可快速方便地评估多宗土地的价格。

  (3)基准地价系数修正法估价的精度与基准地价及其修正体系的精度密切相关。

  4.基准地价系数修正法估价的程序与方法

  (1)收集、整理当地的土地定级估价成果资料。定级估价资料是采用基准地价系数修正法估价的基础。因此在估价前必须收集当地土地定级估价的成果资料,主要包括:土地级别图、土地级别表、基准地价图、基准地价表、基准地价因素修正系数表和相应的因素条件说明表等,并根据估价的需要加以整理,作为宗地估价的基础。

  (2)确定待估宗地所处的土地级别、对应的基准地价、相应的修正系数表和该级别基准地价对应的地价内涵和土地开发程度等。根据待估宗地的位置、用途,对照前面所收集的土地级别图表、基准地价图表等,确定待估宗地所处的土地级别、基准地价和相应的因素条件说明表、因素修正系数表、该级别土地平均开发程度和基准地价内涵,以确定地价修正的基准和需要调查的影响因素项目。

  (3)调查宗地地价影响因素的指标条件。按照与待估宗地所处级别和用途的对应的基准地价修正系数表和因素条件说明表中所要求的因素条件,确定宗地条件的调查项目,调查项目应与修正系数表中的因素一致,并明确待估地价的内涵和相应的土地开发程度。

  宗地因素指标的调查,应充分利用已收集的资料和土地登记资料及有关图件,不能满足需要的,应进行野外实地调查,在调查基础上,确定宗地地价因素指标数据。

  (4)土地开发程度差异修正。比较待估宗地价格定义与基准地价内涵,当二者内涵一致,开发程度相同时,则不必进行土地开发程度差异修正,当二者不一致时,则要进行土地开发程度差异修正,将基准地价修正为与待估宗地地价设定的土地开发程度,例如某市三级工业用地基准地价为500元/m2,对应的土地开发程度为四通一平(通路、通电、通上水、通下水和场地平整),而待估宗地地价定义为三通一平(通路、通电、通上水和场地平整)条件下的工业用地地价,二者开发程度不一致,需进行修正,据调查,该级别土地通下水开发费用为40元/m2;则该级别三通一平条件下的基准地价应为500 - 40=460元/m2,以此作为下一步宗地地价评估的基准。

  (5)确定宗地地价评估的修正系数。按调查结果,首先根据每个因素的指标值,查对各用途土地的基准地价影响因素指标说明表,确定因素指标对应的优劣状况;按优劣状况再查对基准地价修正系数表,得到该因素的修正系数。对所有影响宗地地价的因素都同样处理,即得到宗地的全部因素修正系数。某一宗地的总修正系数按下式计算

  K=\sum_{i=1}^n K_i

  式中:K——某一宗地所有地价影响因素总修正值;

  Ki——分别为宗地在第i个因素条件下的修正系数%;

  n——修正因素个数。

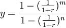
  (6)确定待估宗地使用年限修正系数。基准地价对应的使用年限,是各用途土地使用权的最高出让年期,而具体宗地的使用年期可能各不相同,因此必须进行年期修正,土地使用年期修正系数可按下式计算:

  y=\frac{1-(\frac{1}{1+r})^m}{1-(\frac{1}{1+r})^n}

  式中:y——宗地使用年期修正系数;

  r——土地还原率

  m——待估宗地可使用年期;

  n——该用途土地法定最高出让年期。

  (7)确定期日修正系数。基准地价对应的是基准地价评估期日的地价水平,随时间迁移,土地市场的地价水平会有所变化,因此必须进行期日修正,把基准地价对应的地价水平修正到宗地地价评估期日。期日修正一般根据地价指数的变动幅度进行,期日修正系数可按下式计算

T=宗地估价期日的地价指数/准地价评估期日的地价指数

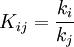
  (8)确定容积率修正系数。基准地价对应的是该用途土地在该级别或均质地域内的平均容积率,各宗地的容积率可能各不相同,同时由于容积率对地价的影响极大,难以在编制基准地价因素修正系数表时考虑进去,因此若在因素修正系数表中未考虑容积率影响,则必须进一步进行修正,将平均容积率修正到宗地实际容积率水平。容积率修正系数按下式计算:

  K_{ij}=\frac{k_i}{k_j}

  式中Kij+——容积修正系数;

  ki——待估宗地容积率对应的地价水平指数;

  kj——级别或均质地域内该类用地平均容积率对应的地价水平指数。

  (9)确定待估宗地地价。根据前面所求得的各项修正系数,对待估宗地对应的基准地价修正,即可求得宗地地价。系数修正公式为:

  P_i=p \times (1 \pm k) \times y \times T \times k_{ij}

  式中:Pi——待估宗地地价;

  P——待估宗地对应的基准地价;

  k、y、T、kij均含义同前

宗地地价评估的程序[2]

  一、接受估价任务

  二、确定估价的基本项目

  包括确认评估对象;确定委估者委托估价的目的;确定估价条件:考虑使用年期。

  三、拟订估价作业计划

  四、资料收集与现场踏勘

  (1)资料收集内容主要包括产权登记资料、地籍图、建筑平面位置图、地价、地租资料、市政管网图件及资料、城镇规划图。

  (2)现场踏勘主要内容包括查证地产位置状况、地上建筑物现状、装修及使用情况,勘查地产周围环境景观、地价调查等。

  五、一般估价资料调查分析

  一般估价资料包括社会、经济政治环境等方面影响地价的资料。

  六、特定资料收集与分析

  特定资料主要包括市场交易资料;土地开发及建筑成本资料;收益及费用资料:还原利率资料。

  七、选择适宜估价方法,试算地价

  不同的估价方法有不同的特点和适用范围,也有相应的限制条件,必须根据估价方法的特点,限制和运用范围,选择适宜的方法。

  八、测算价格调整与估价额确定

  九、撰写估价报告书

参考文献

  1. 1.0 1.1 喻卫芳主编.城镇土地分等定级估价与使用权招标拍卖挂牌出让操作手册(中卷).光明日报出版社,2002
  2. 沈彭主编.土地管理知识大全.中国大地出版社,2009


上一篇 : 住宅进深
下一篇 : 宗地地价
关于我们
热门推荐
合作伙伴
免责声明:本站部分资讯来源于网络,如有侵权请及时联系客服,我们将尽快处理
支持 反馈 订阅 数据
回到顶部