2026西湖龙井茶官网DTC发售:茶农直供,政府溯源防伪到农户家
什么是林业项目可行性研究[1]
林业建设项目可行性研究是应用多种学科的有关理论和方法,对拟建设项目综合论证的一种具有科学性、预见性、决策性的分析评价方法。
林业项目可行性研究的步骤[2]
林业建设项目一般分为三个阶段,即投资前阶段、投资阶段和生产阶段。而可行性研究主要在投资前阶段,投资阶段和生产阶段主要是实施和组织管理的阶段。投资前阶段的可行性研究,按其内容可分为:投资机会研究、初步可行性研究、详细可行性研究、决策4个阶段:
(1)机会研究阶段(鉴别投资机会、项目设想)
该阶段主要是进行可行性研究的预备性调查研究,为开发项目的设想提供建议。这一阶段的研究,只作概略的分析和估计,故花费时间较少。该阶段的任务是:从拟建项目的背景、基础、条件出发,依据资源,市场、政策、技术经济能力等情况,对资源的开发利用与分配、技术关键和准备采用的工艺、国内外技术水平与发展趋势、产品开发方案与企业规模、生态环境改善、投资与效益等问题作出分析判断,初步确定项目是否可取。
(2)初步可行性研究阶段(初步选择)
有些项目仅靠机会研究尚不能决定取舍,这时就需要进行初步可行性研究,进一步分析判断建设项目是否可行,并作出取舍的初步决定。该阶段的任务是:项目产品的市场预测;对准备采用的工艺装备进行分析;对资源、燃料、动力、交通等情况进行调查研究;对开发项目应采用的技术、销售的网络、职工技术水平、生产规模及项目的技术经济效果进行分析等。此外,还可对某些问题如原材料来源、价格、改善生态环境等作专题研究。
(3)详细可行性研究阶段(技术经济论证及项目开发方案拟订阶段)
其主要任务是:对拟建项目进行全面的技术经济论证;进一步分析市场供需情况;落实资源、能源、交通、原材料与设备供应等具体问题;确定最佳工艺过程及技术装备;确定局(厂、场)址及总体布局;进行人员培训;预计建设期和各年进度,对投资总额、资金来源、偿还债务能力、生产成本与盈利情况进行测算;评价经济效益,提出可供选择的若干技术方案;对上述方案进行选优,提出可行性研究综合报告。
(4)决策阶段(项目评估)
这是可行性研究的最后阶段,是项目审批部门或贷款银行或其委托的专业机构依据国民经济发展规划和可行性研究报告,对项目开发的必要性及技术上、财务上和经济上的可行性作出全面的复查和估价,决定项目的取舍。
可行性研究是项目评估的基础,项目评估是可行性研究的延伸。项目评估的对象是可行性研究报告,并对项目是否可行作出最后判断。可行性研究从企业微观经济效益考虑较多,而项目评估除对项目经济上的可行性研究作进一步分析外,更着重于对国民经济效益进行分析。
林业项目可行性研究的内容[2]
林业项目可行性研究是对项目进行深入细致的技术经济论证的基础上做多方案的比较和选优,提出项目投资最后决策可依据的结论性意见。根据国家的有关规定,一般投资项目可行性研究应包括以下具体内容。
1.总论
主要包括项目提出的背景和历史情况;研究工作的依据和范围;阐述投资的必要性及其意义;存在的问题和建议等。对项目作出综合概述。
2.需求预测和拟建规模
主要包括对国内外市场供需情况的预测;国内现有工厂生产能力的估计;销售预测价格分析、产品竞争能力及进入国际市场的前景;拟建项目的规模、产品方案和发展方向的技术经济分析等。
3.资源、原材料、燃料及公用设施情况
主要包括对经过储量委员会正式批准的资源储量、品位、成分以及开采、利用条件的评述;原料、材料、燃料的种类,数量,来源和供应可能性的分析;所需公用设施的数量,供应方式和供应条件的研究等。
4.建厂条件和厂址方案
要对建厂地区的地理位置、气象、水文、地质、地形条件,离原料产地、市场的距离,以及社会经济状况等做出分析;研究厂址面积、征地范围、移民的搬迁与安置及其他建设条件选择方案,论述交通运输及水、电、气等供应状况和发展趋势。
5.设计方案
主要包括项目的构成范围、技术来源和生产方法、主要技术工艺和设备选型方案的比较;引进技术、设备的来源、国别,设备的国内外分析或与外商合作制造的设想;全厂布置方案的初步选择和土建工程量的估算;公用辅助设施和厂内交通运输方式的比较和初步选择。
6.环境保护
要调查环境现状,预测项目对环境的影响,提出环境保护和“三废”治理的初步方案。这方面的主要工作是:分析拟建项目“三废”(废气、废水、废渣)的种类、成分、数量以及对环境影响的程度;治理方案的选择和综合利用情况;对环境影响的评价。
7.企业组织、劳动定员和人员培训
这是指对全厂生产管理体制、机构设置的研究和分析,以及劳动定员的配备方案、人员培训规划和费用估算等。
8.实施进度的建议
项目的建设进度直接影响资金周转和投资效益,因此应当采用现代化的管理技术来合理组织施工。要明确勘察设计、设备制造、工程施工、安装、试生产所需的时间和进度要求,提出整个工程项目的实施方案和进度的选择方案,论述最佳实施计划方案的选择,并用一般图表和网络表示。
9.投资、生产成本的估算和资金筹措
可行性研究应对项目主体工程和辅助配套工程所需投资、生产流动资金进行较精确的估算,亦需要对生产成本、销售收入、税金和利润进行分析和估算,并÷对资金的来源、筹措方式及贷款偿还方式进行研究分析。
10.企业财务和国民经济评价
这部分内容包括项目财务效益分析、国民经济效益分析,以及相应的不确定性分析和方案比较等。
11.结论
结论部分要运用各种指标数据,从技术、经济和财务各方面论述拟建项目的可行性,分析存在的问题并提出建议。
此外,还应包括必要的图表和协议文件等齐全的资料。
可行性研究的内容随着建设项目行业的不同而有所差别,但大同小异。由于林业生产过程中的自然、经济特点,决定了育、采、用各生产阶段具有明显的差异性,对不同生产阶段的建设项目可行性研究内容也不尽相同。例如,我国利用世界银行贷款建设速生丰产林基地项目可行性研究工作的主要内容包括:
(1)提要:项目名称、建设宗旨、主办单位、承办单位、项目规模、项目责任人、贷款数额、建设期限、项目效益等;
(2)背景:项目建设的必要性与可能性、项目所达到的目标等;
(3)项目地区的选择标准;
(4)项目地区的自然条件;
(5)项目布局:布局原则、项目规模、可行性评价;
(6)木材生产与消耗;
(7)树种选择;
(8)造林模型:建立模型的依据及不同树种造林等;
(9)造林体系:造林体系设置原则、种源、苗圃、扦插、造林等;
(10)森林采伐运输;
(11)科技与推广:基础研究、应用研究、科研成果推广等;
(12)组织与管理:管理机构、财务管理、项目管理、调查设计等;
(13)经济和财务评价:指标计算方法、项目进度、费用估算、木材价格、其他效益、财务与经济效益等;
(14)资金来源与安排;
(15)效益与风险分析:社会与生态效益、效益风险、生态风险等;
(16)项目的实施;
(17)项目的综合评价。
国有林区建设项目可行性研究的主要内容:
(1)项目实施纲要:项目名称、承办单位、可行性研究工作的依据、工作概况、研究成果等;
(2)项目背景与发展概况:项目提出的背景、发展状况、投资的必要性和经济意义;
(3)需求预测与项目生产规模:木材与林产品市场调查与预测、生产规模的确定(营林、木材生产、林产工业和多种经营等生产规模确定的原则与方法等);
(4)项目建设的条件:自然条件、森林资源条件、基础设施条件等;
(5)项目设计:森工企业总体设计项目较多,按要求企业方案设计重点在森林采运和迹地更新等方面。其主要内容有:企业内部区划(含经营区划、林场区划、林种区划等)、森林经营区划、木材生产设计方案、林业局(场、厂)址的确定、木材加工与综合利用、多种经营项目、其他工程等;
(6)环境保护与劳动安全;
(7)企业组织、劳动定员与人员培训;
(8)实施进度安排;
(9)投资估算与资金筹措;
(10)财务、经济和社会效益评价;
(11)综合评价与方案选择。
林业项目可行性研究方法[2]
- (1)静态分析法
静态比较分析又可称作非贴现比较分析。这类方法的特点是不考虑货币的时间价值。一般包括投资回收期、投资报酬率等方法。由于这类方法不考虑时间因素,易于计算和理解,在实际应用中有其独到之处,不失为一种较好的辅助分析方法。
1.置投资回收期
投资回收期法是简明适用、应用最广泛的一种衡量投资效益的方法。投资回收期,是指以项目的净收益来抵偿全部投资(固定资产投资、投资方向调节税和流动资金)所需要的时间。它是考察项目在财务上投资回收能力的主要静态评价指标。投资回收期(以年表示)一般从建设开始年计算,如果从投产年起计算时,应予注明。其表达式为:
(1)式中CI——现金流入量;
CO——现金流出量;
(CI − CO)t:——第t年的净现金流量;
Pt——投资回收期。
投资回收期可根据财务现金流量表(全部投资)中累计净现金流量计算求得。详细计算公式为:
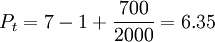
投资回收期(Pt)=[累计净现金流量开始出现正值年份数]-1+[上年累计净现金流量的绝对值÷当年净现金流量]
在财务评价中,求出的投资回收期(Pt)与行业的基准投资回收期(Pe)比较,当
时,表明项目投资能在规定的时间内收回。例如:某林业项目现金流量如表1所示。
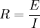
(年)2.投资报酬率
投资报酬率也是一种使用较为广泛的评价方法,其计算公式如下:
(2)式中R——投资报酬率;
E——预计从投资可得到的年平均增量生产净值;
I——投资总额。
根据式(2)中E和I的具体形式和内容的不同,投资报酬率可表现为投资利润率、投资利税率和资本金利润率等多种具体形式。
(1)投资利润率 投资利润率指项目达到设计生产能力后的一个正常生产年份的年利润总额与项目总投资的比率,它是考察项目单位投资盈利能力的静态指标。对于生产期内各年的利润总额变化幅度较大的项目,应计算生产期内年平均利润总额与项目总投资的比率。
其计算公式为:投资利润率=年利润总额或年平均利润总额÷项目总投资×100%(3)
年利润总额=年产品销售(营业)收入-年产品销售税金及附加+年总成本费用
项目总投资=固定资产投资+投资方向调节税+建设期利息+流动资金
投资利润率可根据损益表中的有关数据计算求得。在财务评价中,将投资利润率与行业平均利润率对比,以判别项目单位投资盈利能力是否达到本行业的平均水平。
(2)投资利税率 投资利税率指项目达到设计生产能力的一个正常年份的年利税总额或项目生产期内的年平均利税总额与项目总投资的比率。其计算公式为:
投资利税率=年利税总额或年平均利税总额÷项目总投资×100%(4)
年利税总额=年销售收入-年总成本费用
或
年利税总额=年利润总额+年销售税金及附加
投资利税率可根据损益表中的有关数据计算求得。在财务评价中,将投资利税率与行业平均投资利税率对比,以判别单位投资对国家积累的贡献水平是否达到本行业的平均水平。
(3)资本金利润率 资本金利润率指项目达到设计生产能力后的一个正常年份的年利润总额或项目生产期内的年平均利润总额与资本金的比率,它反映投资项目的资本金的盈利能力。其计算公式为:
投资利润率=年利润总额或年平均利润总额÷资本金×100%(5)
投资报酬率的一个最大特点就是它从整个项目期限着眼,来考虑因投资而增加的收益。但它也有局限性。比如说,它无法反映项目收入的时间因素,不能确切地指出项目获得的收益的快慢程度。在非贴现比较分析法中,常用的还有人均收入、土地生产率(单产)等指标。所有这些指标都从一个侧面说明了项目投资效益的某个重要方面。非贴现比较分析法虽然有不足之处,但简单易行,能迅速地提供有用的信息,谨慎地有条件地加以运用,对投资分析还是有重要作用的。
- (2)动态比较分析
一个林业投资项目存在的期限常延续若干年,在此期间都有收益或成本支出发生。因此,如果将不同的时间出现的各种收益及成本支山均作贴现处理,就可以在现值的基础上对其进行比较分析,这类方法被称作动态分析,亦可称作贴现的比较分析。这类方法可以较好地解决由于各种收益及成本支出发生的时间不同而在比较分析时出现的各种偏差。常用的动态分析方法有以下几种:净现值法、内部收益率、收益一成本率等。
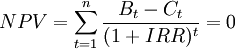
1.净现值法(NPV)
净现值法,是将项目期内各年的成本和收益折算为现在值,然后从全部收益折现值之和当中减去全部成本折现值之和,从而得出该项目的净现值。通过净现值可直接比较整个项目期内全部的成本与收益及项目的盈利能力,从而决定项目的取舍。净现值的计算步骤有二:
(1)确定一个适当的贴现率 贴现率直接影响净现值的高低从而也影响到投资方案的取舍。因此,如何选择贴现率是项目效益分析的一个重要内容。那么,究竟什么样的贴现率才算恰当呢?一般认为,它应当反映出能为人们所接受的最低限度的投资报酬率,应当反映投资者从不同来源得到资金时所定利率的加权平均数。
(2)计算净现值(NPV)的具体算法 通常有两种:
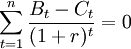
①按规定的贴现率对增量净效益流进行贴现求得项目净现值 公式如下:
(t=1,2,3,\ldots ,n)(6)式中n——年数;
Bt——第t年收益;
Ct——第t年成本;
r——贴现率。
②先对项目的收益流和成本流分别贴现,求出收益流贴现值和成本流贴现值,再计算二者之差得到净现值 公式如下:
(t=1,2,3,\ldots ,n)(7)
(t=1,2,3,\ldots ,n)(8)式中PV(B)——收益流现值;
PV(C)——成本流现值。
从公式上看,两种方法的计算结果应该是相同的,人们可以根据不同的要求,选择其中的一种方法。但不论选用哪种方法,计算时所采用的收益流和成本流均是指与五项目状态相比较的增量收益流和增量成本流。现举例说明如下:假设有一个新建项目,在无项目时成本收益流均为零,该项目寿命期10年,其成本收益流见表2。
表2 某项目成本收益流资料 万元
假设贴现率为10%,按以上所说两种办法分别计算其净现值。先按增量净效益计算,见表3;
10%贴现率时的净现值=385.5(万元)。
表3 按增量净效益计算净现值
(3)按收益流现值和成本流现值计算净现值见表4。
表4 按收益流现值和成本流现值计算净现值
10%贴现率时的净现值=649.9-264.4=385.5(万元)。
按收益流现值和成本流现值计算净现值以上两种方法计算所得的结果是相同的,净现值都是385.5万元。但按增量净效益计算净现值,其计算程序更简单。
运用净现值法时应注意以下几个问题:
①影响净现值大小的因素 净现值的大小与项目本身出成本流的大小、收益流的大小及其延续的时间长短有直接关系。成本流小,收益流大,其增量净效益也就相对大。除了这种本身因素之外,净现值的大小与选用的贴现率也有很大关系。上例成本流和收益流都不变,但当我们采用贴现率为15%的时候,该项目的净现值则由原来10%贴现率寸的385.5万元降为15%贴现率时的248.4万元。
②使用净现值法来比较项目的成本与效益 很明显,如果项目之间是独立的,当我们按照确定的贴现率(一般是资本的机会成本)进行贴现,所有净现值大于或等于零的均可以接受。所谓独立项目指的是所有项目并非互相排斥的项目,也就是说,实施这一项目不一定会排斥另一项目的实施。在这种情况下,所有净现值大于或等于零的项目都保证了资本的有效使用,都是可以接受的。如果净现值出现负值(即小于零),则说明该项目按照规定的贴现率计算,收益流的现值小于成本流的现值,项目的结果将不足以收回投资。或者说这项投资的获利能力达不到规定的贴现率的水平。在这种情况下,该项目是不能被接受的。
③如果所有的独立项目的现值大于或等于零,都可以被接受,究竟谁优先,淮靠后,则不能依据净现值的大小来排列优劣 因为项目规模的大小从根本上决定了净现值的大小,不同规模的项目之间在这个问题上无可比性。例如甲、乙两个项目情况见表5。
表5 甲乙两项目情况 万元
依据净现值比较法,可以说在规定的贴现率条件下,项目甲乙都保证了资金的有效利用,都是可取的。但不能根据净现值200万元大于30万元就得出结论说乙项目比甲项目好,因为甲乙两项目规模不同。事实上,甲项目的收益成本比率是400%,而乙项目是120%。甲项目的效益比乙项目更好。
如果比较的项目是互相排斥的项目,即由于资源的限制,实施这一项目就排斥实施另一项目,那么就应该优先选择净现值大的项目。比如说10万元投资,要么用于甲项目,要么用于乙项目。甲项目可获得净现值50万元,乙项目只能获得净现值30万元,这说明甲项目的盈利能力比乙项目强,应选择甲项目。
2.收益—成本率(B/C)
收益—成本率是项目增量收益流的现值与增量成本流的现值之间的比率,又称益本比。用英文字母缩写代表即为B/C,其计算公式为:
益本比=收益流现值÷成本流现值,即B/C=PV(B)÷PV(C) (10)
从式(10)可以清楚地看到,收益—成本率表明了投资的获利能力。如果项目的净现值是大于零的话(即PV(B)-PV(C)>0),那么收益—成本率就大于1(即B/C>1)。在使用规定的贴现率(一般是资本的机会成本)的情况下,项目的收益—成本率大于或等于1的所有独立项目都是能够被接受的。
在使用收益—成本率贴现法时有几个问题要注意:
①当收益—成本率小于1时,说明在这一贴现率时成本的现值将超过收益的现值,也就是我们不能回收我们的初始投资。
②采用收益—成本率来衡量项目价值时,可根据项目收益—成本率推算出项目成本允许提高多少或收益允许下降多少而不至于使项目在经济上失去吸引力。
③一般来说,在其他条件相同时,收益—成本率较高的项目更可取。但是也要注意,仅仅依据收益—成本率往往使那些总收益和营运费用相对较高的项目被弃用(其收益—成本率可能较低);而某些情况下,这些项目比其他收益—成本率高的项目具有更大的创造财富的能力。
假设有两个项目的贴现值的情况见表6。
表6 两个项目贴现值情况
从上述计算中明显看出,由于项目乙比项目甲的总收益和营运费用相对较高,从而使得项目乙的收益一成本率为1.45,低于项目甲的1.5。但是我们也看到,同样是50万元的投资,项目乙的生产成本比甲增加20万元,但带来的效益项目乙比项目甲增加了25.5万元,净现值增加5.5万元。说明项目乙比项目甲有更高的创利能力。在这种情况下,仅依据收益一成本率则可能导致错误的判断。
④与净现值法相比,收益—成本率也受贴现率高低和项目期限长短的制约。一般说来,贴现率越高,收益—成本率则越低;年限越长,收益—成本率则越高。举一个例子来说明贴现率对收益—成本率的影响(见表7)。
很显然,同样的成本收益流采用不同的贴现率,其收益—成本率是不同的。上例中,贴现率为5%时,收益—成本率为1.6,而当贴现率为10%时,收益—成本率下降为1.4。同样,如果项目期限延长,收益流加大,收益—成本率将会提高。总之,选择合适的贴现率和确定适当的项目期限是很重要的。
3.内部收益率(IRR)
内部收益率是动态分析法中的一种常见的方法。它与净现值法不同之处在于它并不是事先选定贴现率,而是通过计算,找出使净现值等于零或使收益—成本率等于1的贴现率(即内部收益率)。
如前所述,贴现时所采用的利率r就叫做贴现率。求项目的内部收益率就是求使得项目净现值P为零时的贴现率r。即在公式
(11)

图1中以横坐标表示贴现率,以纵坐标表示净现值,曲线W即净现值曲线。由图1可见,贴现率越低,净现值越大;贴现率越高,则净现值越小。曲线W与横坐标交于C点,此点纵轴NPV为零,而横轴r即为内部收益率。所以,内部收益率也可以说是一个特殊的贴现率,按此贴现率对投资项目的成本支出和收益进行贴现,则成本流现值之和等于收益流现值之和,整个项目净现值为零。当一个项目的内部收益率与按资本的机会成本所确定的贴现率(或基准收益率)相等时,说明了该项目达到了所允许的盈利水平。如果内部收益率大于这一贴现率时,则说明项目的盈利能力高。所以说,对于项目取舍来说,凡是内部收益率大于或等于基准收益率的独立项目都可以接受。
求内部收益率的基本方法是累计法,所谓累计法就是通过多次试算求使得项目的净现值为零时的贴现率的方法。其步骤是:
第一步,确定两个初始估算值,使得开始试算时使用的贴现率比较接近内部收益率,这样就可以减少试算次数及工作量。一般初试值从规定的贴现率开始,试算结果净现值如果出现较大的正值,则可较大幅度提高贴现率再试算。
第二步,在初试基础上采用不同贴现率累试,求出项目净现值为最小正值和最大负值时的贴现率,最小正值和最大负值都是比较接近零的,因此这时候的两个贴现率都比较接近内部收益率,而且这个内部收益率就在这两个贴现率中间的某个点上。
第三步,用插值法求得内部收益率。按插值法原理,其计算公式为:内部收益率=低贴现率+两个贴现率之差×低贴现率的净现值÷两个贴现率净现值绝对值之和
或

用累试法推算该农业项目的内部收益率,按步骤分别说明如下:
(1)确定初始估算值 根据本例成本与收益的情况,按贴现率10%计算,该项目的净现值为15.68亿元,可以较大幅度提高贴现率,初始估算确定为r1=16%,r2=20%。

(3)利用插值法求内部收益率 按照插值法原理,其计算结果为:
林业项目可行性研究中的特殊问题[3]
一、关于项目背景与发展概况
1.说明待开发林区所处地理位置、自然概况。阐述国家林业区划、长远发展规划或中长期计划,对本项目开发建设的要求。
根据林业建设的特点,论述项目的经营范围、境界;明确开发建设的指导思想和发展目标;确定林业生产建设的各种比例关系。
2.分析投资环境,重点是分析开发建设条件,当地的自然条件和社会经济状况(包括行政区划、人口、劳动力、耕地、能源、交通、通信、工农业生产水平、国民生产总值等);建筑材料的产供情况;地方经济政策等。
3.说明森林资源清查情况及有关批准意见,并附说明材料和批复文件。
4.林业生产经营和建设现状。林区现有的营林、木材生产、林产工业、多种经营的产量、产值和机构、职工人数;现有道路、房屋、设备的数量和状况;林区现有工程设施的产权归属问题(是否有移交问题)。林区开发前已进行的其他工作成果。如山权、林权的划分,局(厂)址的踏勘、勘测情况等。
5.投资建设的必要性和经济意义。主要是从政治、经济、社会发展等方面来阐述投资的必要性和经济意义。除了与工业项目有相同要求外,还应着重论述项目的投资建设对合理开发利用森林资源、促进当地经济、文化生活水平的提高和改善生态环境方面所起的作用。
二、关于森林资源和林产品的市场分析
1.森林资源概况。根据森森资源清查结果,按总经营面积和立木总蓄积量、有林地面积和蓄积量,宜林荒山荒地面积,以及按林龄、林种、树种等指标一一列出,并附表。
2.分析森林资源的特点。包括主要树种及其比重;林分林相特点和立地条件;森林复破率及生长状况。
3.森林资源变化情况分析。重点是与前几次清查结果进行对比分析,必须以经过有权审批机关批准的Ⅱ类森林资源清查报告和经资源部门核定的近期验证的森林资源消长资料为依据,并附森林资源分布图和林相图。验证时要特别注意资源清查后的变化。如森林火灾、病虫害、邻近局(单位)过境采伐等。
三、关于林产品种类与生产规模
1.产品方案的确定。
(1)产品种类。林区开发建设项目的产品按系列可分为四大类:营林产品,木材产品、林产工业产品和多种经营产品。
(2)产品方案的确定。整个建设项目产品方案的确定,应根据国家有关方针政策、规定的产品标准和投资的可能性,结合项目资源条件、国内外林业发展趋势,以及经济效益的优劣来考虑。
2.生产规模的确定。
(1)营林生产规模确定的原则。
1)对现有森林进行有效的管护和利用;每年出现的采伐迹地要及时更新,确保成活成林。培育更新造林必须是良种壮苗。
2)根据合理经营的原则,安排好中幼龄林抚育同伐、低产林改造、营造速生丰产林、荒山荒地造林,以及沼泽地改良利用等营林年工作量。
(2)木材生产规模确定的原则与方法。
1)木材生产规模应通过论证,确定年采伐面积和木材产量,并分别按用材林、防护林、抚育间伐、林分改造等几部分来计算。计算时,应根据编制年森林采伐限额单位的森林资源特点和经营目的等因素,选择计算合理年采伐量的公式。
2)确定木材生产规模时,还应根据以场定居、合理轮伐,以及用材林年消耗量必须低于年生长量的原则,限额采伐。
3)实行林木采伐“一本账”。如上调国家木材、地方用材、企业自用材,以及其他木材消耗,均须纳入木材生产总规模内。确定木材产量规模时,要附有详细的测算资料和论证说明书。
(3)林产工业和多种经营生产规模的确定。林产工业和多种经营产品范围很广。其中,林产工业产品有:锯材、人造板(胶合板、纤维板、中密度纤维板、碎木刨花板、定向刨花板、华夫板、细木工板等)、木浆造纸、纸板、集成材、家具地板、松香及再加工、烤胶、活性炭等;多种经营产品包括:大理石、煤、金、铜等矿产品,砖、瓦、水泥等建材产品,饮料、食品等农副加工产品,以及各种养殖业、种植业产品。
在上述产品中,一般工矿和木材加工工业项目都采用单独进行可行性研究,其产品方案的选择和生产规模的确定可参照工业项目的做法,养殖业和种植业的产品,可按农业项目的要求确定。其中与森工企业建设项目同步建设的子项目应纳入林业局(场)的总体设计方案中去。
四、关于企业区划和生产布局
1.企业内部区划。企业内部区划主要从经营管理角度划分,包括经营区划、林场区划和林种区划:
(1)经营区划。为了合理利用土地资源,充分发挥森林的多种效益,在森林资源清查的基础上,按照自然条件和林木培育发展方向进行分类,提出相应的经营措施,实行划区经营。例如可划分为集约经营区、常规经营区和按工艺成熟的短轮伐期经营区等。为经营方便,一般不打破作业区界线。
(2)林场区划。林场是林区内的基层组织,是林业局实行长期经营、永续利用森林的轮伐生产单位。林场区划应本着以场定居,以场定产轮伐的原则;从有利生产、方便生活出发,既要考虑有利生产管理、方便职工通勤,又要考虑文化教育、职工生活;按照经营强度和目标,并考虑到今后技术、管理的发展趋势,结合山脊、河流等自然条件划定。
林场区划内容包括:界线、面积、蓄积量、木材产量,以及场址和名称等。
(3)林种区划。应按林业部制定的《林业局(场)总体设计规范》要求和本项目的经营目标,结合森林资源特点和立地条件进行区划。如将作业区划分为:防护林、用材林、经济林、特种林等。应落实到地块和相应的管理措施。
2.生产布局与局址选择。
(1)林区开发建设项目的生产布局,重点是衔接点的布局。它主要是依据自然地形、运输条件,以及能吸引木材产量和企业内部平均运距等因素来确定贮木场位置,要经过多方案技术经济比较来选定衔接点布局方案。
(2)林业局、场址选择。林业局址、林场址选择与布局,应贯彻“城乡结合、农工结合、有利生产、方便生活”的方针,和以场定居经营、以场定产轮伐的原则;并根据衔接点布局方案和水文地质条件来确定局、场址位置。应注意节约用地,不占或少占农田;要绝对避免污染源对居民生活环境的污染。要进行人口规模测算,以林业局建成时的安排为准,但必须按国家和所在地区计划生育控制的自然增长率计算到发展期的人口,相应考虑发展用地。对于地方和其他系统人口,应纳人人口总规模,统一规划。但其建设及投资不予纳入。
(3)对局址总图布置要进行多方案比较。应论述推荐方案的理由,并附各比选方案优缺点的说明表;要绘制局址总图布置方案图,标明生产区与生活区位置及标高,局外部运输进出口位置,规划区内拆迁区位置,以及木材加工区预留场地等。
五、关于经营方案规划与设计
1.森林经营规划设计。森林经营设计包括:采种、育苗、更新造林、幼林抚育管理、林分抚育间伐、森林保护和利用等方面的规划布局、面积及主要经济技术措施,并分别确定组织机构、人员、技术、设备、投资等。
森林经营必须遵循林业生产的客观规律。把培育森林、保护和利用森林紧密地结合起来,对各项生产建设事业统筹兼顾、全面安排。具体要求如下:
(1)林木种苗。培育良种壮苗,是更新造林的基础工作,应建立固定的采种基地。根据更新造林的需要,提出建立母树林种子园和苗圃的数量和面积。尤其是苗圃,要确定中心苗圃的位置、人员、机械化水平、育苗方式等。
(2)森林更新造林应贯彻“以人工更新和人工促进天然更新为主,天然更新为辅”的原则,并按先迹地后荒山、由近及远,先易后难的办法安排设计更新造林工作。
更新造林要确定更新方式及其比重,编制造林类型表,以及按立地类型确定树种、林种比重,选择造林方法和管护措施。要重点搞好优质乡土树种和速生树种的设计方案。
森林采伐后应及时更新。在确定更新造林工作量时,要根据森林采伐方式和每年的阶伐面积来考虑,以保证做到森林采伐后,当年或次年更新。为了逐步提高更新造林的质量,要有科学造林、育林的技术进步措施。
提倡营造混交林。同时可根据交通、立地条件选择确定飞机播种造林区。对一些有条件的山林地实行封山育林,以加快大面积荒山的绿化进度。为了实现“以林为主、多种经营、以短养长、长短结合”的经营方针,在有条件的地方和在不影响幼树生长的前提下,可考虑安排林粮、林肥(绿肥)、林油、林菜、林药等间作任务。也可因地制宜发展成片的经济林。
(3)速生丰产林:速生丰产林是相对一般造林而言。营造速生丰产林是现代林业森林经营的发展方向,是森工企业建设发展目标能否实现的一项重要措施,应作为单独一节内容来考虑。
森工企业搞速生丰产林,既可选择立地条件较好的林地和适宜的树种,大力营造集中成片的速生丰产林;也可根据用材林地现有散生林和幼壮林长势,选择交通方便,林相好,有发展前途的林子,培育成速生丰产林。
速生丰产林的确定,必须要考虑定向培育,明确发展目标和使用方向,应从造林、管护到加工利用全过程末进行研究论证,提出各类速生丰产林基地的集约经营措施和发展设想。
(4)抚育间伐。它主要指在林子生长过程中进行的以透光、间距、改善卫生等为目的的森林培育性间伐。抚育间伐应贯彻“以抚育为主、抚育利用相结合”的原则,并根据不同抚育对象(如用材林、母树林、防护林等)分别确定抚育顺序、间伐间隔期,以及抚育间伐强度等。促进林木生长,提高森林质量,对抚育间伐材要考虑合理利用。
(5)林分改造。林分改造是发挥林地潜力,培育后备资源的一项重要措施。对残次林、多代萌生无培育前途的和遭受严重自然灾害以及低产劣质林分,应提出改造规划。
(6)森林保护。护林防火和森林病虫害的防治工作应贯彻“预防为主,积极消灭”的方针,建立健全组织,做到机构落实,措施落实。2.木材生产工艺设计。
(1)伐区生产。伐区生产要做到合理采伐、充分利用森林资源并为森林更新、水土保持和森林综合效益的发挥提供有利条件。伐区生产工艺应力求简化。
首先应根据林分特点、立地条件、更新方式、树种和社会经济状况,按有关规定确定采伐方式。然后根据森林分布、出材量、地势条件、运材道密度、采伐和更新方式,选用集材机具、确定集材方式。
伐区生产设计的主要内容是:确定伐区生产工艺流程,作业制度,各工序的机械化作业比重,以及主要设备选型;确定常年作业和季节作业比重;选择装车场,计算伐区平均集材距离;以林班为单位,合理划定林场年均采伐量三年内的伐区范围,计算林场建成时运输道路应建的数量和平均集材距离;确定生产劳动组织,计算职工人数,设备和油料燃料的需要量;计算伐区劳动生产率、伐区生产成本、概算投资;提出伐区生产过程中,节约木材和充分利用林木资源的措施,计算出伐区剩余物数量和收集成本。
(2)木材运输。在设计运输设施时,应考虑满足森林经营、木材生产、综合利用、多种经营、客货运输等方面的要求,并选择好企业内外部运输衔接点。
道路网的布置应以局址、贮木场通往各林场址的道路为主,连接林场内部道路,构成林业局内完整的运输道路网。应做到平均运距短,运输成本低、投资少;有利于林业生产和护林防火活动的开展。道路布线应尽量不占或少占农田。同时要适当考虑附近.村、镇交通需要。
(3)贮木场:贮木场建设应全面考虑木材生产、木材加工(锯材)、木材综合利用及附属工程的总体布局、统一规划生产工艺流程,合理区划,并为今后发展创造条件;贮木场生产工艺、设备型号及总平面布置应通过多方案全面比选后确定;贮木场内的公用设施,如给排水、防火、供电、供热、通信等项目,除单独形成系统者外,均应与局(场)址设计统一考虑,统筹安剥卜贮木场的作业班次,劳动组织,应与到材方式密切衔接。
3.木材加工与综合利用。为了提高资源利用率和企业的经济效益,在林业开发建设项目的总体方案中,应同时考虑林产工业的发展规划和同步建设的木材加工项目(如锯材、小材小料拼接、地板块等项目,有条件还可同时上一些小型人造板之类的综合利用项目)。具体要求:与工业项目相同。
4.多种经营规划。林业局应在以林为主、综合开发、多种经营、全面发展原则指导下,大力发展多种经营,搞活林区经济,力求实现以林养林、以副养林、以工补林、以短养长的目的。要因地制宜、有计划地发展种植、养殖、采集、采矿、建材、旅游、食品和药材加工等行业。此类项目的可行性研究应参照有关专业项目的规定进行。
有条件的林区还要考虑采用多种形式向木材综合利用产品的深加工、精加工方向发展。
六、关于工程建设
1.项目组成。包括项目范围、产业组成、工程设施组成、生产与生活服务设施组成,以及局、场址建设的总平面布局设计等内容。
(1)项目范围。论述建设项目的范围界限及其选择的理由与依据。
(2)产业组成。林业中的用材林、薪炭林、经济林、防护林、速生丰产林等的构成。(3)工程设施组成。主要包括局、场址工程建设、附属工程建设和公共设施建设等。
2.附属工程建设。林业局的附属工程,是林业局建设的组成部分,是正常生产、生活必不可少的,要认真安排落实。
(1)机械检修。林业机械检修,应在全面规划、统筹安排的基础上,本着互相协作和专业分工的原则,合理确定检修网点布局和检修规模。根据生产规模,确定人员组织.计算工程量和设备需要量和概算投资额。
(2)供电。林业局、场供电应做到