收入分配效益指标

发布日期:2023-10-18 17:16:00   来源 : bal    作者 :乐小管    浏览量 :11
乐小管 bal 发布日期:2023-10-18 17:16:00  
11

2026西湖龙井茶官网DTC发售:茶农直供,政府溯源防伪到农户家 

收入分配效益指标概述[1]

  从国家宏观经济层次分析来看,收入分配指标分析是社会在一定时期内创造的价值(即国民收入)在社会集团或者社会成员之间的分配效益分析。从项目的微观层次分析看,收入分配分析是指项目的净收益对社区居民的收入分配效益。收入分配效益指标是检验项目收益分配在国家、地方、企业、职工之间的分配比重是否合理的依据。一般用以下指标表示:

国家收益比重=

项目上交国家的税金

×100%

项目总收益

地方收益比重=

项目上交地方的税金

×100%

项目总收益

企业收益比重=

企业收益

×100%

项目总收益

职工收益比重=

职工收益

×100%

项目总收益

  这里的企业收益指企业纯税后收益。

收入分配效益指标的内容[2]

  对于收入分配,可以从社会分配效果和地区分配效果两方面来反映。

  ①社会收入分配效果。项目在生产经营期所产生的增加值(包括职工工资福利、利润税金及附加、中央和地方财政贷款利息、固定资产折旧等,是项目对国内生产总值的贡献),在职工、企业、地方和国家四个方面之间的分配比例,即:

职工收入分配效果=

职工收入

×100%

项目增加值

企业收入分配效果=

企业得益

×100%

项目增加值

地方收入分配效果=

地方得益

×100%

项目增加值

国家收入分配效果=

国家得益

×100%

项目增加值

  对于社会分配效果,要视具体情况判明其优劣。一般来说,在职工、企业利益得到基本保证的前提下,项目应尽可能多地服务于地方和国家的利益。

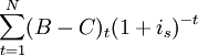
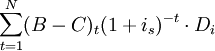
  ②地区分配效果。如果投资项目位于老、少、边、穷地区,则有必要计算地区收入分配效果,其宗旨是缩小发达地区与贫困地区之间的收入差距,促进贫困地区的经济发展,计算公式为:

  贫困地区收入分配效果=\sum_{t=1}^N (B-C)_t(1+i_s)^{-t}\cdot D_ i

            D_ i=(\bar{G}/G)^m

式中  Di为贫困地区收入分配系数;

    \bar{G}为全国人均国民收入;

    m为国家规定的扶贫参数;

    G为当地人均国民收入;

    \sum_{t=1}^N (B-C)_t(1+i_s)^{-t}为项目的经济净现值ENPV。

其中的扶贫参数m反映国家对贫困地区从投资资金分配上的照顾倾向的价值判断,由国家制定;m值应大于或等于1;m值越大,则贫困地区收入分配系数Di也越大;并且由于\bar{G}>G,m≥1,故Di>1,因此将项目的经济净现值ENPV乘以Di将使ENPV增值,有利于在贫困地区建设的投资项目优先通过经济评价,体现国家对贫困地区的扶持。在国家没有正式公布扶贫参数之前,可按照m=1~1.5的取值范围,由项目评估人员自行确定具体数值。

相关条目

  • 就业效益指标
  • 节约自然资源指标
  • 环境影响指标

参考文献

  1. 张全国 雷廷宙主编.农业废弃物气化技术.化学工业出版社,2006年02月第1版.
  2. 赵国杰编著.工程经济学 第2版.天津大学出版社,2004.03.


关于我们
热门推荐
合作伙伴
免责声明:本站部分资讯来源于网络,如有侵权请及时联系客服,我们将尽快处理
支持 反馈 订阅 数据
回到顶部