未来成长价值

发布日期:2023-08-18 11:00:00   来源 : bal    作者 :乐小管    浏览量 :372
乐小管 bal 发布日期:2023-08-18 11:00:00  
372

2026西湖龙井茶官网DTC发售:茶农直供,政府溯源防伪到农户家 

未来成长价值/未来增加值(future growth value,FGV)

什么是未来成长价值

  未来成长价值(FGV)是未来各期EVA增长值的现值,是对EVA的进一步延伸。

未来成长价值的计算公式

  未来增长价值(FGV)=[[市值]]-当前营运价值(COV,currento perating value)

          =[[市场增加值]]-当前经济增加值/[[资本成本率]]

FGV和COV的比值

  FGV和COV(当前营运价值,currento perating value)的比值越大说明市场对未来EVA的增长预期越高。当公司期末创造的FGV 大于期初预期的FGV(下文将预期的FGV表示为FGV1)时,产生了超额FGV(下文将超额FGV表示为FGV2) 。这样:

  期末市场价值(MV)=期初经营价值(COV) +预期EVA增加值的折现值(FGV1)+公司超过预期的超额增加值(FGV2)。

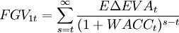
  那么,t时期的未来增长之值的表达式为:

  FGV_{1t}=\sum^{\infty}_{s=t}\frac{E{\Delta}EVA_t}{(1+WACC_t)^{s-t}}    (1)

  FGV_{2t}=\sum^{\infty}_{S=t}\frac{R{\Delta}EVA_t-E{\Delta}EVA_t}{(1+WACC_t)^{s-t}}    (2)

  E:预期

  R:实际

  EVA:经济附加值

  FGV2对 公司价值点理解至关重要。标准金融理论认为市场的定价偏差FGV2是暂时性的,从长期来讲公司市场价值就等于其内在价值。但是,索罗斯有句名言:“市场总是错的。”

  基于公司价值经济利润模式,我们将t时期的公司价值分解为以下几部分:

  (1)投入资本,即公司的账面价值,用ICt − 1表示;

  (2)资本创造值,即扣除投人资本的公司在未来存续期限内保持现有规模和盈利能力的经济利润的折现值,用SVAt表示;

  (3) 内部经理人理性预期增长值,即内部经理人对公司未来成长性的合理估计的折现值,用FGV1t表示;

  (4)公司外部投资者由于行为偏差对公司价值 的估计偏差,是市场的泡沫成分,用FGV2t表示。

  前三部分构成了公司的内在价值(IV,In trinsic Value),用IVt表示,即未来所有实际的EVA加上现有的投资资本,也即公司当前运营价值(COV)与预期EVA增加值(FGVI)部分之和,

  IVt = COVt + FGV1t

  那么,t时期的公司市场价值等于各部分的和,即等于当前运营价值(即投人资本加上资本创造值,用COV表示)、内部经理人理性预期的增长值折现加上外部投资者的非理性判断偏差。即t时期公司价值体系的构成如图1所示,其市场价值的表达式如下:

  MVt = IVt + FGV2t = ICt − 1 + SVAt + FGV1t + FGV2t

  公司价值体系

  图 公司价值体系

参考文献

  • 饶育畜,王平,何嵌.公司价值形成的反身性机制与中国上市公司的实证研究.中南大学学报.第12卷第4期.2006年8月

相关条目

  • 经济附加值


关于我们
热门推荐
合作伙伴
免责声明:本站部分资讯来源于网络,如有侵权请及时联系客服,我们将尽快处理
支持 反馈 订阅 数据
回到顶部