外汇额度帐户

发布日期:2023-10-18 10:12:00   来源 : bal    作者 :乐小管    浏览量 :64
乐小管 bal 发布日期:2023-10-18 10:12:00  
64

2026西湖龙井茶官网DTC发售:茶农直供,政府溯源防伪到农户家 

外汇额度帐户(Foreign Exchange Quota Account)

什么是外汇额度帐户

  外汇额度帐户是外汇管理部门为便于地方或企业调拨外汇额度和记载外汇额度收支余额情况而设立的帐户

外汇额度帐户的种类[1]

  根据外汇额度种类,外汇额度帐户分为以下6种:

  (1)贸易留成外汇额度帐户;(2)非贸易留成外汇额度帐户;(3)国拨专项夕》汇额度帐户;(4)以进养出周转金外汇额度帐户;(5)调剂外汇额度帐户;(6)偿还外汇贷款额度帐户。

外汇额度帐户开立的有关规定[1]

  1.开户条件。凡有外汇来源的各外(工)贸公司、各类经济实体以及中央机关、人民解放军各总部、国务院各部委局,其他事业单位、团体,根据其外汇额度种类,可到外汇管理局及其分局申请开立相应的外汇额度帐户。

  2.开户手续。要求开立外汇额度帐户的单位,应持外汇管理部门的核拨外汇额度收入通知或外汇来源证明、营业执照(副本)、主管部门批准其独立开户的函件,到外汇管理部门申请开立外汇额度帐户。经外汇管理部门批准,由开户单位预留帐户印鉴。

  3.帐户的管理。(1)每一个额度帐户的收支,都必须认真贯彻执行国家有关外汇管理的政策、法令、规章、制度;(2)单位的外汇额度帐户,只供本单位在正当的业务范围内使用,不能出租、借用或转让给其他单位;(3)外汇额度帐户的每一笔支付,必须在帐户上有足够额度余额时才能办理,严禁签发空头支付凭证;(4)外汇额度只能在实际支付时才能买成现汇,不准提前买汇。

外汇额度帐户的运用[2]

  货币平价条款分简单货市平价条款和均摊损益货币平价条款两种。简单货币平价条款虽然能减轻汇率风险,但买卖双方减轻程度不同。

  以简单平价条款之一的以计价结算货币对另一种货币汇率变动幅度的一半调整货币为例,假定日商在汇率l美元兑250日元(或100日元兑0.4美元)时,售给美商价值25000日元(合100美元)的货物。合同规定以日元计价结算,在结算时以日元对美元汇率变动幅度的一半凋整货价,则计算结果为:美商以日元计价购货,结算时汇价为l美元兑175日元。由于日元升值,日元货价降低为21250,其计算公式是:

  25000 - \frac{25000 \times \frac{250-175}{250}}{2}=21250日元

  美商实付货款\frac{21250}{175}=121.41美元。美商损益为21.43%。

  日商实收货款21250日元,日商损益按日元计算为15%\frac{21250-25000}{25000},与美商损失率不一致。

  均摊损益货币平价条款,弥补丁简单货币平价条款的不足,将汇率造成的损益平均分摊给买卖双方。仍沿用简单货币平价条款中的例子,均摊损益货币平价条款是按签约时汇率与结算时汇率之和的一半调整货价,其公式是:

  以美元计价调整后的美元价格=签约时等值日元÷{(签约时美元汇率+结算时美元汇率)÷2)}

  日商以美元计价售货,结算时汇率为1美元兑175日元(即100日元=0.57美元),

  售价调整为:25000日元÷((250+175)÷2)=117.65美元

  美商实付货款117.65美元,美商损失率为:

  \frac{117.65-100}{100}=17.65%

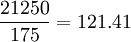
  日商实收货款为:\frac{117.65 \times 100}{0.57}=20640.35日元

  日商损失率为:\frac{25000-20640.35}{25000}=17.44%

  以日元计价调整后的日元价格=签约时等值美元÷{(签约时日元汇率+结算时日元汇率)÷2)}

  美商以日元计价购货,结算时汇率为100日元=0.57美元(即l美元兑175口元)

  货价调整为:100美元÷{(0.004+0.0057)÷2}=20618.56日元

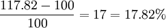
  美商实付货款为:\frac{20618.56}{175}=17=17.82美元

  美商损失率为:\frac{117.82-100}{100}=17=17.82%

  日商实收货款为:20618.56日元,日商损失率为:

  \frac{205000-20618.56}{25000}=17=17.53%

  由此可见均摊损益货币平价条款可以将汇率风险的损益大致乎摊给买卖双方,其优点大于简单货币平价条款,易于被双方接受。

参考文献

  1. 1.0 1.1 詹向阳等编著.中国企事业金融活动指南.北京工业大学出版社,1993
  2. 张德宝.国际金融市场与中国利用外贸研究.贵州人民出版社,1997


关于我们
热门推荐
合作伙伴
免责声明:本站部分资讯来源于网络,如有侵权请及时联系客服,我们将尽快处理
支持 反馈 订阅 数据
回到顶部