市场提取法

发布日期:2023-08-17 11:00:00   来源 : bal    作者 :乐小管    浏览量 :497
乐小管 bal 发布日期:2023-08-17 11:00:00  
497

2026西湖龙井茶官网DTC发售:茶农直供,政府溯源防伪到农户家 

市场提取法(Market Extraction Method)

什么是市场提取法[1]

  市场提取法是通过搜集同一市场上三宗以上类似房地产价格净收益等资料,选用相应的收益法计算公式,求出资本化率

市场提取法的不足[2]

  必须指出的是,用市场提取法求取的报酬率,是过去的报酬率,而不是该类房地产的预期或期望报酬率。科学的对估价对象报酬率的判断,应着眼于可比实例的典型买者和卖者对该类房地产的预期或期望报酬率上。

市场提取法的计算[3]

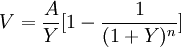
  (1)在V=\frac{A}{Y}的情况下,是通过Y=\frac{A}{V}来求取Y,即可以将市场上类似房地产的净收益与其价格的比率作为报酬率。

  (2)在V=\frac{A}{Y}[1- \frac{1}{(1+Y)^n}]的情况下,是通过

  \frac{A}{Y}[1- \frac{1}{(1+Y)^n}]-V=0

  来求取Y。在手工计算的情况下,是先采用试错法试算,计算到一定精度后再采用线性内插法求取,即Y是通过试错法与线性内插法相结合的方法来求取的。

  式中V——房地产的收益价格;

  Y——房地产的报酬率或折现率

  A——房地产的净收益;

  n——房地产的收益期限,是自估价时点起至未来可以获得收益的时间,通常为收益年限。

市场提取法的运用[4]

  市场提取法求取建筑物折旧的步骤和主要内容如下:

  (1)从当地房地产市场上搜集大量的交易实例。

  (2)从所搜集的交易实例中选取三个以上的可比实例。要求所选取的可比实例中的建筑物与估价对象中的建筑物具有类似折旧状况。

  (3)对每个可比实例的成交价格进行付款方式等有关换算、交易情况修正、房地产状况调整(注意不对其中的折旧状况进行调整),但不进行市场状况调整。

  (4)求取每个可比实例在其成交日期时的土地重新购建价格,然后将前面换算、修正和调整后的可比实例成交价格减去土地重新购建价格得出建筑物折旧后价值

  (5)求取每个可比实例在其成交日期时的建筑物重新购建价格,然后将每个可比实例的建筑物重新购建价格减去前面求出的建筑物折旧后价值得出建筑物折旧。

  (6)将每个可比实例的建筑物折旧除以建筑物重新购建价格转换为总折旧率。

  如果可比实例中的建筑物年龄与估价对象中的建筑物年龄相近,求出的各个可比实例总折旧率的范围较窄,则可以将可比实例总折旧率调整为适用于估价对象的总折旧率。

  如果各个可比实例中的建筑物年龄、区位、维修养护程度等之间有较大差异,求出的各个可比实例总折旧率的范围较宽,则应将每个可比实例的总折旧率除以其建筑物年龄转换为年平均折旧率,然后将各个年平均折旧率调整为适用于估价对象的年平均折旧率。

  (7)将估价对象建筑物的重新购建价格乘以总折旧率,或者乘以年平均折旧率再乘以建筑物年龄,便可以得到估价对象建筑物折旧,即:

建筑物折旧=建筑物重新购建价格×总折旧率

  或者

建筑物折旧=建筑物重新购建价格×年平均折旧率×建筑物年龄

  利用市场提取法求出的年平均折旧率,还可以求取年限法所需要的建筑物经济寿命。在假设建筑物的残值率为零的情况下:

建筑物经济寿命=

1
年平均折旧率

  例如,如果通过市场提取法求出的估价对象建筑物的年平均折旧率为2%,则可以根据2%的倒数估计估价对象建筑物的经济寿命为50年。

  此外,利用总折旧率还可以求出建筑物的成新率:

建筑物成新率=1-总折旧率

相关条目

  • 耐用年限法
  • 成新折扣法
  • 实际观察法

参考文献

  1. 蒋伯涛,张彤主编.全国注册房地产经纪人执业资格考试星级考点详解与测试.中国建材工业出版社,2004
  2. 史贵镇主编,环球职业教育在线编.房地产估价案例与分析考前突破.中国建筑工业出版社,2006
  3. 柴强主编.房地产经纪相关知识 (第四版).中国建筑工业出版社,2008
  4. 柴强主编.房地产估价理论与方法.中国建筑工业出版社,2008


关于我们
热门推荐
合作伙伴
免责声明:本站部分资讯来源于网络,如有侵权请及时联系客服,我们将尽快处理
支持 反馈 订阅 数据
回到顶部